Renkaat

Onko mielessäsi nojapyöriin tai nojapyöräilyyn liittyvä kysymys? Haluatko kertoa kokemuksistasi? Kirjoita tänne ja saat varmasti vastauksia.
Avatar
mhelander
Pistosuojattu sisällöntuottaja
Viestit: 3772
Liittynyt: 20 Syys 2010, 22:55
Paikkakunta: Oulu

Re: Renkaat

Viesti Kirjoittaja mhelander »

tavasti kirjoitti:
mhelander kirjoitti:

Maastossa litkuja käytetään jopa UST-renkaiden ja vanteiden kanssa, joska parempihan se on että jos litku saa pidettyä edes osan ilmoista sisällä ja äijän liikkeellä voi sillä olla ratkaiseva merkitys vaikkapa kisatuloksen suhteen.

Koitin bike-componentsista ja CRC:stä katsella UST vanteita mutta en mä kyllä keksinyt juurikaan moisia, ainakaan nopeasti ja halvalla. Mitäs nää nyt sitten on, jotain hifiä, harvinaista ja kallista? Tubeless for dummies, kiitos. :-)

Edit: Onkos noita UST-renkaita olemassa muitakin kuin nappularenkaita maastoon? Itsellä olis jossain vaiheessa tapetilla pythonin renkaat, ja siihen olis tulossa leveää mutta keskeltä melko sileää rengasta. Eli haussa 'jousitus' renkailla, mutta tiellä sillä ajetaan. Toki se soratie-osuuskin on, mutta siinä riittää kun pystyy ajamaan, pääpaino on kestopäällyste-ominaisuuksilla.

Vanteet maastoon: Mavic EX823 559x23 655g.

Vanteet maantielle: Stan's NoTubes ZTR Alpha 400 Road 700x23c 425g.

Gummeja:

Tuossa kun kattelin Schwalben sivuilta niin ainakin maastoon on melkein jokaista tähän asti suosittua TubeLess-ready (TL-ready) rengasta saatavilla nyt tai ensi vuonna UST-tubelessina.

Tässä vielä pari linkkiä WTB:n valikoimiin (saatavuudesta en tiedä) vanteista joilla uskoisin myös TL-ready gummien pysyvän kohtuudella. Ne kun on litkujenkin kanssa kevyempiä kuin UST-tubeless kumekset:

-Mika

Käytössä: omavalmisteet Evo off-roader @ 2015 & Vendetta kopio @ 2012, tehtaalta M5 CrMo Lowracer @ 2010
Myydyt: Proto off-roader omavalmiste @ 2012-2016, MetaPhysic (26"/29er & 700c) @ 2011-2017.

Avatar
tavasti
Pistosuojattu sisällöntuottaja
Viestit: 2796
Liittynyt: 06 Elo 2007, 10:55
Paikkakunta: Kangasala
Viesti:

Re: Renkaat

Viesti Kirjoittaja tavasti »

mhelander kirjoitti:

Gummeja:

Niih, tässä tullaan nyt just tähän, että mä haluaisin 'maantielle' 559 kokoista, kohtu paksua. Tubeless ready/ UST renkaat tuntuu 559 koossa olevan noita oikeita maastorenkaita.

Mites nuo Schwalben Furious Fredit toimii tiellä? Näyttäisi kelvollisen sileältä keskeltä?
http://www.bike-components.de/products/ ... 2013-.html

Toinen kysymys on, että mites UST renkaat ja ghetto tubeless, saako siitä tiellä ajamiseen kelvollisen pitävää & varmaa yhdistelmää litkuilla?

Ajokkina Nazca Paseo 26/26 - Helander maastoproto 1 - Kiertopalkinto Python

"... mutta ei se toimi kuoppaisella savisella soratiellä, varsinkaan jyrkässä ylämäessä!"

Avatar
mhelander
Pistosuojattu sisällöntuottaja
Viestit: 3772
Liittynyt: 20 Syys 2010, 22:55
Paikkakunta: Oulu

Re: Renkaat

Viesti Kirjoittaja mhelander »

tavasti kirjoitti:

Mites nuo Schwalben Furious Fredit toimii tiellä? Näyttäisi kelvollisen sileältä keskeltä?
http://www.bike-components.de/products/ ... 2013-.html

Toinen kysymys on, että mites UST renkaat ja ghetto tubeless, saako siitä tiellä ajamiseen kelvollisen pitävää & varmaa yhdistelmää litkuilla?

Mulla on keskarit 30:n pinnassa FF:illä. Hyvin toimii ei-UST vanteilla (DT-Swiss XR-400 edessä ja XM-490 takana) Stans-tubelessina ja vielä paremmin maastossakin WTB:n "koukkuvanteilla".

Niitä ennen oli noilla DT-Swiss:n vanteilla ralliranet ghetto-tubelessina. Molemmissa Stans:n litkut sisällä. Toimii. Paineet tuli tarkistettua viikon parin välein keväällä (ennen FF:ien asennusta) ja aina ennen kisoja.

Keskarit ei olleet lähellekään ralliraneilla 30:n lukemia, edes tubelessina. Mutta sellaisina nekin oli selvästi rullaavammat kuin keveillä sisureilla.

Mun mielestä UST on "varmistelua" ja sopii parhaiten niille jotka haluaa vain laittaa kumit vanteille ja ajella ilman paineiden tarkistelua tai käärmeen puremia niillä pitkään. Eikä haittaa että vanne+gummi painaa vähän enemmän kuin kisakelpoiset sisärenkaalliset tai sitten Stans-menetelmällä tubeless:ksi muutetut.

Koska sain jopa tuon ei-tubeless suositellun WTB:n vanteen pelittämään Stans:n teipeillä ja olikohan Mavic:n tubeless-venttiileillä, niillä mennään jatkossa. Sanoisin että jos ei ihan maantiellä pidä kisaamaan alkaa niin tubeless Furious Fred on erittäin hyvä vaihtoehto. Se on sekä mukava (matalat paineet) että pitävä ja rullaava.

-Mika

Käytössä: omavalmisteet Evo off-roader @ 2015 & Vendetta kopio @ 2012, tehtaalta M5 CrMo Lowracer @ 2010
Myydyt: Proto off-roader omavalmiste @ 2012-2016, MetaPhysic (26"/29er & 700c) @ 2011-2017.

Avatar
tavasti
Pistosuojattu sisällöntuottaja
Viestit: 2796
Liittynyt: 06 Elo 2007, 10:55
Paikkakunta: Kangasala
Viesti:

Re: Renkaat

Viesti Kirjoittaja tavasti »

mhelander kirjoitti:

Sanoisin että jos ei ihan maantiellä pidä kisaamaan alkaa niin tubeless Furious Fred on erittäin hyvä vaihtoehto. Se on sekä mukava (matalat paineet) että pitävä ja rullaava.

No meikäläisellä on nyt alla normaali Marathon 40mm leveänä, 7 bar paineilla. Jos samalle seinälle pääsisi rullaavuudessa, niin katsotaan enemmän kuin riittävän nopeaksi.

Ajokkina Nazca Paseo 26/26 - Helander maastoproto 1 - Kiertopalkinto Python

"... mutta ei se toimi kuoppaisella savisella soratiellä, varsinkaan jyrkässä ylämäessä!"

Avatar
Wacky
Pistosuojattu sisällöntuottaja
Viestit: 4141
Liittynyt: 14 Heinä 2010, 12:38
Paikkakunta: Helsinki, Vesala

Re: Renkaat

Viesti Kirjoittaja Wacky »

Tavasti, suosittelen lämpimästi alentamaan paineita kun joudut ajamaan sorateillä koska tuo 40 mm olis varmaan aika kiva 6,0-5,5 bar paineilla jos sorateitä täytyy ajaa. Rullaavuudessa menetät asfaltilla vähän, mutta soralla varmaan meno paranee selvästi.

- Richard "Riku" Griffin
Savenmaa Alku (2010 - 2011) Azub Bufo (2011 - 2014) MetaPhrastic.28 (2012 ->) MetaPhat (2013 - 2017) Nopia (2017 - 2019) Specbike Extrim (2017 -> & 2019 ->) Pony4 Bike (2022 ->)

Avatar
tavasti
Pistosuojattu sisällöntuottaja
Viestit: 2796
Liittynyt: 06 Elo 2007, 10:55
Paikkakunta: Kangasala
Viesti:

Re: Renkaat

Viesti Kirjoittaja tavasti »

Wacky kirjoitti:

Tavasti, suosittelen lämpimästi alentamaan paineita kun joudut ajamaan sorateillä koska tuo 40 mm olis varmaan aika kiva 6,0-5,5 bar paineilla jos sorateitä täytyy ajaa. Rullaavuudessa menetät asfaltilla vähän, mutta soralla varmaan meno paranee selvästi.

No siellä soralla riittää kun siitä pääsee yli, ei sitä ole kuin 5.5 km lenkin alkuun ja loppuun. Ja paineet toki laskee 6 bariin viikossa, eli jollei joka kerta pumppaa. Paseon kanssa ei ongelmaa, siinä on jousitus. Se mihin renkaita haaveilen nyt on jonain vuonna valmistuvaan pythoniin, jossa ei ole jousitusta.

Ajokkina Nazca Paseo 26/26 - Helander maastoproto 1 - Kiertopalkinto Python

"... mutta ei se toimi kuoppaisella savisella soratiellä, varsinkaan jyrkässä ylämäessä!"

Avatar
terppa
Pistosuojattu sisällöntuottaja
Viestit: 3614
Liittynyt: 09 Huhti 2010, 16:02
Paikkakunta: Lahden perämetsä

Re: Renkaat

Viesti Kirjoittaja terppa »

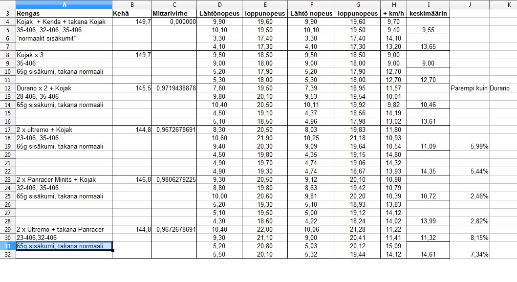
Laitoin illan ratoksi OpenOfficen calculaattoriin eilen Nokialla rullaamiani nopeuksia ja tuolta se näyttää... f ja g -sarakkeet on mittarivirheellä korjattuja.

rengastestit 18082013.jpg
rengastesti 18082013.xls
(14 KiB) Tiedosto ladattu 140 kertaa

Eli Mangolla rullailin Nokian Renkaiden testiradalla ennen takakaarretta olevaa mäkeä, näin jälkikäteen jos olisi viisas niin olisi keskittynyt vaan n. 5 kmh lähtönopeuksiin, sitä kautta toistoja olisi saanut enemmän mutta ekat kokeilut mulle... Tuulta oli ja se varmaan vaikuttaa mutta erotkin oli sen verran selkeät jotta nuo renkaat voi laittaa järjestykseen vaikka "parempi kuin Durano" -saraketta ei nyt niin tarkasti kannata lukea... Panracerin ja Ultremon eroja olisi pitänyt lasketella vielä muutama lisäkierros mutta elän nyt kuitenkin siinä uskossa, että Ultremo on parempi :D kohtuu vaikeata saada lähtönopeus ihan tasaiseksi...

Parilla setillä yritin ajaa kaksi nopeaa kierrosta mutta se on enempi sattumankauppaa millainen tuuli sattuu pääsuoralle... Ultremoa oli kiva verrata mutka-ajossa +50 km/h nopeudella ja jotenkin se meni kivemmin mutkassa, en tiedä sortiko kisaduranot vai johtuiko liian kovasta jousipaineesta takana mutta nyt tuo meni jotenkin vakaamman oloisesti. Ultremon kapeus mahdollistaa jakke&sepi viritykset pyöränaukkojen rättikatteille joihin Tepolta ja Jorilta tuli hyviä vinkkejä ja jos keli on viileämpi niin samasta matskusta saisi jalka-aukotkin umpeen. Villi veikkaus, että ensi kesänä Mango näyttää ihan kuskiltaan eli ihme viritys :D

Edellinen Nokian kisa meni Duranoilla, nyt takana oli Kojak paitsi vikassa testissä joka on oletettavalla kisarengastuksella: Ultremot edessä ja Panracer takana. Jos nyt siitä hullusta unelmasta lähtisi, että ensivuoden kisassa vierintävastus on 6,5% pienempi niin saako jollain kaavalla laskettua mitä se Mangon tapauksessa vaikuttaa keskinopeuteen jos nyt ajoajan keskari oli n.35,5 km/h, noin palttiarallaa arviokin riittää.

Se nyt pitää vielä huomioksi sanoa, että toinen Durano oli reunalangallinen ja vähän ajettu kun olin omat Duranot jemmannut autoon piiloon ja löysin ne vasta testin jälkeen :oops: ehkä tänä vuonna siivoan auton sisältä :mrgreen:

Nojasyklismiä vuodesta 2010

"Nojapyöräily on parasta mitä voi tehdä housut jalassa mutta kinnerillä voi ajaa myös ilman housuja"

Quidquid latine dictum sit, altum videtur.

Avatar
jviirret
Pistosuojattu sisällöntuottaja
Viestit: 12381
Liittynyt: 27 Elo 2006, 10:25
Paikkakunta: Raahe

Re: Renkaat

Viesti Kirjoittaja jviirret »

terppa kirjoitti:

Jos nyt siitä hullusta unelmasta lähtisi, että ensivuoden kisassa vierintävastus on 6,5% pienempi niin saako jollain kaavalla laskettua mitä se Mangon tapauksessa vaikuttaa keskinopeuteen jos nyt ajoajan keskari oli n.35,5 km/h, noin palttiarallaa arviokin riittää.

Arvion sijaan arvaus että tuossa nopeudessa ilmanvastu 80% ja vierintävastus 20%. 6% muutos tuohon 20% osuuteen on päässä laskien noin 1% muutos kokonaisuuteen, eli keskinopeus nousisi 35,9:ään. Tai matka 400kilometristä 404kilometriin
Jos ilmanvastuksen osuus olisi puolet on laskeminen helpompaa, silloin 6% muutos vierintävastukseen olisi 3% muutos kokonaisuuteen, eli noin 1km/h lisää keskinopeuteen ja tulos 400:sta 412:een. En usko että vierintävastuksen osuus olisi noin paljoa vaan tuo ylempi olettamus lienee lähempänä totuutta.

Jukka

Riman ali ja suoraa ohi maalin...

jori
Pistosuojattu sisällöntuottaja
Viestit: 14406
Liittynyt: 15 Syys 2006, 19:00
Paikkakunta: Tampere, Petsamo

Re: Renkaat

Viesti Kirjoittaja jori »

jviirret kirjoitti:
terppa kirjoitti:

Jos nyt siitä hullusta unelmasta lähtisi, että ensivuoden kisassa vierintävastus on 6,5% pienempi niin saako jollain kaavalla laskettua mitä se Mangon tapauksessa vaikuttaa keskinopeuteen jos nyt ajoajan keskari oli n.35,5 km/h, noin palttiarallaa arviokin riittää.

Arvion sijaan arvaus että tuossa nopeudessa ilmanvastu 80% ja vierintävastus 20%. 6% muutos tuohon 20% osuuteen on päässä laskien noin 1% muutos kokonaisuuteen, eli keskinopeus nousisi 35,9:ään. Tai matka 400kilometristä 404kilometriin
Jos ilmanvastuksen osuus olisi puolet on laskeminen helpompaa, silloin 6% muutos vierintävastukseen olisi 3% muutos kokonaisuuteen, eli noin 1km/h lisää keskinopeuteen ja tulos 400:sta 412:een. En usko että vierintävastuksen osuus olisi noin paljoa vaan tuo ylempi olettamus lienee lähempänä totuutta.

Arvioidaanpa hiukan vierintävastuksen osuutta. 80% osuus ilmanvastukseen kinnerin kyseessä ollen vaikuttaa vähän suurelta. Ajokki kuljettajineen painaa noin sata kiloa. Kaikki vierintävastus muodostuu 20" renkaista.
Jos 20" renkaan vierintävastuskertoimeksi arvataan 0,004, vie vierintävastus 100 kg x 0,004 x 9,81 x 10 m/s (36 km/h) = 40 W. Kokonaistehot taitavat olla 12 h suorituksessa luokkaa 150 W, joten vajaa kolmannes on vierintävastusta. Tuo 150 W lienee sekin aika paljon, ainakin tämän kuvaajan perusteella.

Liitteet
Ihmisen tehokestävyysGreg.png
Ihmisen tehokestävyysGreg.png (252.57 KiB) Katsottu 3305 kertaa
Ihmisen tehokestävyysNASA1964.png
Ihmisen tehokestävyysNASA1964.png (251.79 KiB) Katsottu 3305 kertaa

Jori

On se kumma hyypiö tämä ihminen.
Kun kerran omaksuu tietyn käsityksen ja asenteen jostain asiasta, tulee aivan kuuroksi ja sokeaksi todisteille, jotka kumoaisivat nuo käsitykset, ja varsinkin unohtaa ne. - Sakari Holma

Avatar
terppa
Pistosuojattu sisällöntuottaja
Viestit: 3614
Liittynyt: 09 Huhti 2010, 16:02
Paikkakunta: Lahden perämetsä

Re: Renkaat

Viesti Kirjoittaja terppa »

Hmm... sitähän foorumiajelussa rupeaa pääsemään jo melkein uudelle kymmenluvulle :D eli jos vierintävastus olisi 26,66% vastuksista ja parannus vanhoihin renkaisiin 6,5% niin matka jatkuisi 1,733% joka 402,95km tekee 409,94 km? Noh, ensi vuonna on uudet kisat mutta lysti on spekuloida :mrgreen:

Nojasyklismiä vuodesta 2010

"Nojapyöräily on parasta mitä voi tehdä housut jalassa mutta kinnerillä voi ajaa myös ilman housuja"

Quidquid latine dictum sit, altum videtur.

Avatar
mhelander
Pistosuojattu sisällöntuottaja
Viestit: 3772
Liittynyt: 20 Syys 2010, 22:55
Paikkakunta: Oulu

Re: Renkaat

Viesti Kirjoittaja mhelander »

terppa kirjoitti:

Hmm... sitähän foorumiajelussa rupeaa pääsemään jo melkein uudelle kymmenluvulle :D eli jos vierintävastus olisi 26,66% vastuksista ja parannus vanhoihin renkaisiin 6,5% niin matka jatkuisi 1,733% joka 402,95km tekee 409,94 km? Noh, ensi vuonna on uudet kisat mutta lysti on spekuloida :mrgreen:

Mikään ei voita spekulointia. Paitsi jos saa testattua ihan oikeissa ajo-olosuhteissa tulosparannusta.

Mullahan kävi vähän flaxi noiden "maasto" renkaiden kanssa kun löyty ihan nojakilla maastossa ajettava mutta hyvin rullaava raivoreetu joka ehkä kestääkin jonkin verran rymistelyä.

Nyt on kierroksessa myös märällä toimivat gumekset, siis semmoset jotka ei ole sika-liukkaat juurakoissa ja kivikoissa mutta eivät toisaalta kivireki kovalla pinnalla. On suositeltu (fillarifoorumilla) sitä jos tätä rengasta, lupaavimmalta vaikuttaa WTB Bronson Race gummit:

Kuva

Jos tulen varoihin niin tilaan noita 26"/29er parin jotta pääsee testaileen. Muuten pitää mahdolliset pari loppukesän XC-tapahtumaa rymistellä raivoreetuilla...

-Mika

Käytössä: omavalmisteet Evo off-roader @ 2015 & Vendetta kopio @ 2012, tehtaalta M5 CrMo Lowracer @ 2010
Myydyt: Proto off-roader omavalmiste @ 2012-2016, MetaPhysic (26"/29er & 700c) @ 2011-2017.

kmb
Sisällöntuottajakokelas
Viestit: 268
Liittynyt: 12 Heinä 2013, 21:28
Paikkakunta: Jyväskylä

Re: Renkaat

Viesti Kirjoittaja kmb »

terppa kirjoitti:

Hmm... sitähän foorumiajelussa rupeaa pääsemään jo melkein uudelle kymmenluvulle :D eli jos vierintävastus olisi 26,66% vastuksista ja parannus vanhoihin renkaisiin 6,5% niin matka jatkuisi 1,733% joka 402,95km tekee 409,94 km? Noh, ensi vuonna on uudet kisat mutta lysti on spekuloida :mrgreen:

Muista huoimioida että ilmanvastus kasvaa nopeuden neliössä ;)

ICE Sprint 26 (2013 - ), Azub Max (2014 - )

Avatar
jviirret
Pistosuojattu sisällöntuottaja
Viestit: 12381
Liittynyt: 27 Elo 2006, 10:25
Paikkakunta: Raahe

Re: Renkaat

Viesti Kirjoittaja jviirret »

kmb kirjoitti:

Muista huoimioida että ilmanvastus kasvaa nopeuden neliössä ;)

Näimpä, eli kiihdytyksissä ja ylämäissä nopeammat kumit helpottaa alamäkiä ja vastatuuliosuuksia enempi. Mut kun lähtökohta on hyvä kumi niin eipä vähän paremmilta voi ihmeitä odottaa, suuruusluokka tuo muutama kierros Nokialla päivässä enempi. Jos lähtökohta ois max 2.8bar kestävät goldenboyt niin eroa paremmilla kumeilla tulisi kymmeniä kierroksia.

Jukka

Riman ali ja suoraa ohi maalin...

Avatar
tavasti
Pistosuojattu sisällöntuottaja
Viestit: 2796
Liittynyt: 06 Elo 2007, 10:55
Paikkakunta: Kangasala
Viesti:

Re: Renkaat

Viesti Kirjoittaja tavasti »

tavasti kirjoitti:

Toinen kysymys on, että mites UST renkaat ja ghetto tubeless, saako siitä tiellä ajamiseen kelvollisen pitävää & varmaa yhdistelmää litkuilla?

Näihin tubeless-hommiin vielä yksi mutta itsellä: ei ole kompuraa, ja lähimmälle huoltoasemallekkin 15 km.

Ajokkina Nazca Paseo 26/26 - Helander maastoproto 1 - Kiertopalkinto Python

"... mutta ei se toimi kuoppaisella savisella soratiellä, varsinkaan jyrkässä ylämäessä!"

Avatar
mhelander
Pistosuojattu sisällöntuottaja
Viestit: 3772
Liittynyt: 20 Syys 2010, 22:55
Paikkakunta: Oulu

Re: Renkaat

Viesti Kirjoittaja mhelander »

tavasti kirjoitti:
tavasti kirjoitti:

Toinen kysymys on, että mites UST renkaat ja ghetto tubeless, saako siitä tiellä ajamiseen kelvollisen pitävää & varmaa yhdistelmää litkuilla?

Näihin tubeless-hommiin vielä yksi mutta itsellä: ei ole kompuraa, ja lähimmälle huoltoasemallekkin 15 km.

Sopivilla renkailla nousee kuulemma hyvin jalkapumpullakin (jota minulla ei ole). Eikä halapalan minikompurat ole kovin kalliita mutta ei niistä kokemusta.

TM on myös menestyksellä käyttänyt painepulloa lähteenä, mieleen tulee SodaStream -pullot (ne vanhentuneet vaikka) joihin Schraeder-venttiili ja normaalilla pumpulla paineet sisään. Sitten hyvin virtaavalla putkistolla täräyttää tubeless-kiekkoon alkupaineet sisään.

AirZound voisi myös maasturissa toimia backup-lähteenä jos olis se letku mukana ja tubeless blurppaa maastossa...

-Mika

Käytössä: omavalmisteet Evo off-roader @ 2015 & Vendetta kopio @ 2012, tehtaalta M5 CrMo Lowracer @ 2010
Myydyt: Proto off-roader omavalmiste @ 2012-2016, MetaPhysic (26"/29er & 700c) @ 2011-2017.

Vastaa Viestiin